Alternativa | 15 Juny, 2009 06:00
Aquesta és la primera part dels nostres precs i preguntes al ple d'abri
Respotes del batle i regidor d’urbanisme Joan Cerdà.
1.- Al ple de setembre del 2007 es va aprovar al ple la nostra moció per iniciar un expedient de recuperació del camí del coll de 'n Patró, ens agradaria saber si a banda de la documentació i les declaracions orals davant notari que va entregar la Plataforma Pro Camins Públics, l'Ajuntament ha fet res per aclarir el traçat d'aquest camí i què es pensa fer?
Amb el nou arquitecte interí tenia intenció de pegar una empenta a aquest tema i a tot el relacionat amb el catàleg de camins. Ja veurem, de moment a aquesta legislatura no s’ha obert cap camí públic.
2. Camins com el Camí llarg, Ariant, Ternelles, Albercuix, el camí del Coll de'n patró, etc.... es troben senyalitzats per l'ajuntament i desprès tancats, ens podrien dir com pot ser que es senyalitzi un itinerari, coneixent que desprès les persones que vulguin fer aquesta excursió no podran passar
No estan senyalitzar per fer excursions.!!!
3. El 17 de desembre vam demanar per escrit que els Serveis Tècnic Municipals fessin un informe jurídic respecte a la possibilitat de fer un decret de batlia per ordenar obrir les barreres del camí públic de Ternelles i una valoració de la indemnització / justipreu de la servitut de pas. S’ha començat a fer ja aquest feina? En cas de resposta negativa insistim en la urgència d’aquests informes donat que s’està tancant un camí públic molt important a més des del punt de vista turístic i cultural.
Com sabeu al ple següent vam presentar una moció demanat l’informe jurídic que va ser rebutjada, segurament el PSOE farà una enquesta sobre el tema.
4. Quan es faran les properes presentacions de l’adaptació del PGOU al Pla Territorial?
S’està negociant amb AAVV Port de Pollença, segurment pot ser la setmana que ve. Dos mesos després encara no s’ha fet però s’has augmentat els dies per presentar al·legacions 30 dies més.
5. Quan pensen presentar la nova ordenança de mercats al ple?
Està feta però no va entrar en comissió. La nostra moció es va aprovar en febrer del 2008, en teoria ja en aquella data estava pràcticament feta, però només fa uns dies ens han donat un esborrany i encara no s’ha portat al ple.
6. Quan sortiran a concurs públic les estades d’estiu i la resta d’activitats esportives municipals?
Ha sortit ja acaba dia 6. Des de principi de legislatura haviem demanat que aquestes estades havien de sortir a concurs públic, finalment es va fer però hem rebut queixes per part d’empreses que es volien presentar i a les que es va dir que se les avisaria de la publicació de la licitació del contracte i que es van assabentar massa tard de la publicació d’aquest concurs.
7. Un ciutadà, Hans Monheim, ens ha denunciat que el dilluns 20 un agent de la policia local es va presentar a un bar conegut del Port preguntant a l'amo si sabia qui era darrera de la petició de firmes de dimissió de la regidora delegada del Port, na Francisca Ramón. El ciutadà diu que es va presentar a l'oficina de la policia local i se li va dir que s’havia fet seguint ordres. Qui va donar aquesta ordre? En el cas de que ningú l’hagi donat demanam que s’investigui el tema.
- No li consta que hagi cap ordre, si es va fer es per que es penjaven cartells ens senyals de tràfic. Hans ens ha enviat la carta i les firmes que ha fet arribar al batle, la publicarem aquesta setmana.
8. Al darrer informe de l'inspector cap de la policia senyor Jaume Martorell Plomer sobre la peatonització hi ha una sèrie de valoracions polítiques que no li corresponen a un informe tècnic. Quan es va demanar l’informe al cap de policia se li va demanar fer aquesta valoració? En cas de resposta negativa volem que se amonesti per escrit al citat cap de policia i que se li indiqui que deixi les seves opinions polítiques per altres àmbits que no sigui un informe tècnic.
- No es va demanar cap tipus de valoració. Evidentmen no han amonestat per escrit a l’inspector cap.
9. Què es pensa fer amb el tancament del carrer cadernera (Gotmar) què segueix incomplint les ordenances municipals?
El regidor de policia en Juanjo va contestar que s'estava estudiant una restricció major i que s'està fent un estudi del que em donaria informació. A dia d’avui tot segueix igual.
10. Volem una explicació detallada de quines dificultats tenen per portar l’aprovació del pressupost a aquest ple. És inadmissible que portin més de mig any de retard quan van contractar una empresa per ajudar-les. A més tornem a demanar els informes que hagi fet aquesta empresa privada.
El regidor d’Hisenda en Juanjo va dir que es presentarien al proper plenari (maig) però estam a juny i seguim igual. Per això hem demanat la creació de la comissió d’elaboració Pressupostos de 2009, formada per un regidor de cada grups polítics municipal i el batle o la persona en qui delegue, amb la finalitat de la confecció de dits pressupostos Aquesta Comissió es reuniria periòdicament fins la elaboració definitiva del pressupost, al menys, una vegada cada quinze dies.
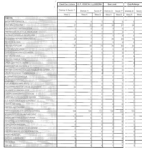
A aquest pdf podu consultar els resultats a Pollença de les darreres eleccions al Parlament europeu per taules electorals.
Una part:
Joan Ramon | 15/06/2009, 21:17
Bé, idoi ja veim la sensibilitat de la persona que va respondre això per tal d'obrir camins públics, ès a dir, cero en voluntat.
Haurem de cercar altres maneres de revindicar?
Salut
Pepe | 15/06/2009, 21:02
Aquesta va ser la resposta Joan Ramon, es veu que els cartells només són per fer guapo.
El turisme senderista sembla que no interessa.
www | 15/06/2009, 17:01
SUSTANCIA:
SE USA EN:
EFECTOS SOBRE LA SALUD:
--------------------
------------------------------------------------------------
------------------------------------------------
Asfalto
Telas y pinturas asfálticas, productos impermeabilizantes y para cubiertas.
Ha resultado cancerigeno en pruebas hechas con animales.
Joan Ramon | 15/06/2009, 08:54
Realment els camins si no estan senyalitzats per fer excursions ni per passar-hi, perque estan senyalitzats?
Com ès que algú es pot fotre així dels ciutadans?
Han perdut la dignitat des de l'equip de govern?
Enserió van contestar això?
Salut i branca.
Qui tè tan poca vergonya?
alternativaperpollenca@gmail.com
Aquest blog és plural i lliure. Les opinions dels comentaris reflecteixen només el parer de l'autor del mateix i des del blog URXELLA no ens fem responsables del seu contingut.
CAP OBJECTIU ÉS MASSA PETIT,CAP VICTÒRIA MASSA INSIGNIFICANT. Arundhati Roy
Pla de Futura Gestió: Programa Electoral 2015-2019
| « | Març 2026 | » | ||||
|---|---|---|---|---|---|---|
| Dl | Dm | Dc | Dj | Dv | Ds | Dg |
| 1 | ||||||
| 2 | 3 | 4 | 5 | 6 | 7 | 8 |
| 9 | 10 | 11 | 12 | 13 | 14 | 15 |
| 16 | 17 | 18 | 19 | 20 | 21 | 22 |
| 23 | 24 | 25 | 26 | 27 | 28 | 29 |
| 30 | 31 | |||||
Desiertos de asfalto,cemento y hormigón.
Resistente al Poder Imperial. | 16/06/2009, 12:55
Cualquier desierto natural de arena es mucho más acogedor que este de asfalto,cemento y hormigón(Ciutat de Palma) que la especulación y la mala voluntad y la mala fe de los políticos han creado.